

产品规格确认书
| Approved by 客户签名栏 | 客户签名 |
| Project Name&Item 产品名称及编号 | JWSH-M491A |
| Working Voltage 工作电压 | 2.4V~3.6V |
备注说明(请选择) | LCD选择 ■单排 ■双排 □多排 |
Picture 产品样片 |
|
| Version 版本 | V1.0 |
| Remark 备注 | 1、规格书仅供参考!以实际样品功能为准! |
| 2、以上资料如有更新我司将不另行通知,客户在应用本产品前请确认是否为Z新版本; | |
| 3、对于客户的不正确应用所带来的任何后果,我司不承担任何责任! | |
| 4、本公司可以根据客户要求对本产品进行改版或重新设计,详情请具体来电垂询! |
一、Features ( 产品特性 )
★ 四个按键: [ MODE ]. [ SET ]. [ RESET ]. [ RECOVERY ]
★ Bonding选择多种LCD: 单排﹐双排
★ Bonding组合搭配选择不同数据;主要功能包括:时间、速度、次数、距离、心率、卡路里、轮径选择、卡路里计算公式选择、公英制选择、倒计.
★ 适用:踏步机、健身车、划船器等多种健身仪表;主要分为计数类和计速类产品。
二、I/O Mapping ( 脚位映射 )
A. 计次类
默认选项:上电后默认为SCAN模式; 4分钟自动关机; 唤醒不清零; 自动扫描心率;
名 称 | 脚位 (I/O) | 说 明 (Description) | ||
MODE | IOEF0----VDD | 模式键 | ||
SET | IOEF1----VDD | 设置键 | ||
RESET | IOEF2----VDD | 复位键 | ||
RECOVERY | IOEF3----VDD | 心率恢复 | ||
S1 | IOCD0---- IOAB0 | Bonding Option LCD选擇 | 00 | 速度單排 |
01 | 速度雙排 | |||
S2 | IOCD1---- IOAB0 | 10 | 次數單排 | |
11 | 次數雙排 | |||
S3 | IOCD2---- IOAB0 | Bonding Option 选择RPM模式 | 1 | 有RPM功能 |
0 | 无RPM功能 | |||
S4 | IOCD3---- IOAB0 | Bonding Option 选择PULSE模式 | 1 | 有PULSE |
0 | 无PULSE | |||
S5 | IOCD0---- IOAB1 | Bonding Option 选择CAL模式 | 00 | 0.14 |
01 | 0.03 | |||
S6 | IOCD1---- IOAB1 | 10 | 0.07 | |
11 | 0.28 | |||
S7 | IOCD3---- IOAB1 | Bonding Option 选择單雙信號模式 | 1 | 雙信號触發 |
0 | 單信號触發 | |||
S8 | IOEF0---- IOAB0 | Bonding Option感应信号有否BI声 | 1 | 有BI声 |
0 | 无BI声 | |||
S9 | IOEF1---- IOAB0 | Bonding Option 是否有SCAN模式 | 1 | 无SCAN模式 |
0 | 有SCAN模式 | |||
S11 | IOEF2---- IOAB0 | 顺序选择 | - | - |
HeartSignal In | IOEF5 | - | - | 心率板信号输入脚 |
Pulse En | IOAB1 | - | - | 心率板使能脚 |
Signal In | IOEF4 | - | - | 信号输入脚 |
B. 计速类
默认选项:上电后默认为SCAN模式; 4分钟自动关机; 唤醒不清零; 自动扫描心率;
名 称 | 脚位 (I/O) | 说 明 (Description) | ||
MODE | IOEF0----VDD | 模式键 | ||
SET | IOEF1----VDD | 设置键 | ||
RESET | IOEF2----VDD | 复位键 | ||
RECOVERY | IOEF3----VDD | 心率恢复 | ||
S1 | IOCD0---- IOAB0 | Bonding Option LCD选擇 | 00 | 速度單排 |
01 | 速度雙排 | |||
S2 | IOCD1---- IOAB0 | 10 | 次數單排 | |
11 | 次數雙排 | |||
S3 | IOCD2---- IOAB0 | Bonding Option 选择ODO模式 | 1 | 没有ODO |
0 | 有ODO | |||
S4 | IOCD3---- IOAB0 | Bonding Option 选择PULSE模式 | 1 | 没有PULSE |
0 | 有PULSE | |||
S5 | IOCD0---- IOAB1 | Bonding Option 选择CAL模式 | 00 | 0.38 |
01 | 0.22 | |||
S6 | IOCD1---- IOAB1 | 10 | 0.44 | |
11 | 1.25 | |||
S7 | IOCD2---- IOAB1 | 顺序选择 | - | - |
S8 | IOCD3---- IOAB1 | Bonding Option 选择K/M模式- | 1 | 英制 |
0 | 公制 | |||
S9 | IOEF0---- IOAB0 | Bonding Option 是否有SCAN模式 | 1 | 无SCAN模式 |
0 | 有SCAN模式 | |||
S10 | IOEF1---- IOAB0 | Bonding Option 輪徑(英寸)的選擇 | 0000 | 78 |
0001 | 1.7 | |||
S11 | IOEF2---- IOAB0 | 0010 | 2.2 | |
0011 | 2.5 | |||
S12 | IOEF3---- IOAB0 | 0100 | 6 | |
0101 | 20 | |||
S13 | IOEF5---- IOAB0 | 0110 | 26 | |
0111 | 42 | |||
1000 | 83.5 | |||
HeartSignal | IOEF5 | 輸入 | - | 心率板信号输入脚 |
Pulse En | IOAB1 | 輸出 | - | 心率板使能脚 |
Signal In | IOEF4 | 輸入 | - | 信号输入脚 |
三、Operation Function ( 功能说明 )
按键功能
[MODE] | 按此键选择切换各项功能,长按此键2秒后恢复全显示并清除各项功能值(ODO和T.C不可清除) |
[SET] | 按此键设置功能值;按一次加1个设置单位值,设置时长按此键2秒可快跳 |
[RESET] | 在设置时按此键直接清除该功能值归零;长按此键2秒后恢复全显示并清除各项功能值(ODO和T.C不可清除) |
[RECOVERY] | 按此键执行心跳回复功能,在执行此功能时再按此键可跳出此功能 |
各模式功能:
1.SCAN:
功能扫描(每六秒扫描一个功能,被扫描到的功能符号闪动);
2.TIME:
记录运动时间(未设置时上数,当此功能被设置后执行倒数直至0后发出报警声BiBi 每秒2次15次,并可继续上数);
3.SP(SPEED):
显示当时运动时的速度(此功能不可设置);
4.CNT(COUNT):
记录运动时侦测到的感应数(未设置时上数,当此功能被设置后执行倒数直至0后发出警报声BiBi每秒2次15次,并可继续上数);
5.T.C:
在不断电情况下累计所有运动时的CNT值;(此功能不可设置);
6.DIST:
累计当时运动时所行进的路程;(未设置时上数,当此功能被设置后执行倒数直至0后发出警报声BiBi每秒2次15次,并可继续上数);
7.ODO:
在不断电情况下累计所有运动时行进的DIST值;(此功能不可设置);
8.RPM:
显示当时运动时侦测到的运动幅度(此功能不可设置);
9.CAL:
记录运动时所消耗的热量值(未设置时上数,当此功能被设置后执行倒数直至0后发出警报声BiBi每秒2次15次,并可继续上数);
10.PULSE:
显示侦测到的心跳脉率(未设置时显示当时及时值;设置后当侦测到的数值高于设置值+5以上时该数值闪动并发出报警声BiBiBiBi,直至该数值进入设置值+5范围内即正常显示);
11.STOP:
此符号在没有感应信号送入时显示,送入感应信号后即消失;
12.K:此符号为公里符号;在设置为公里时 SPEED、DIST、ODO此三项功能都需显示此符号;
13.M:此符号为英里符号;在设置为英里时 SPEED、DIST、ODO此三项功能都需显示此符号;
功能流程:
SPEED默认显示顺序:
通电开机全显示+蜂鸣声2秒,进入SCAN模式,每6秒按照
单排:TIME—SP—DIST—ODO—CAL—PULSE切换模式.
双排:TIME—DIST—CAL—ODO—PULSE切换模式SP为上排显示
S7=1时显示顺序:
单排:SP—DIST—TIME—ODO—CAL—PULSE切换模式.
双排:DIST—TIME—CAL—ODO—PULSE切换模式SP为上排显示
COUNT默认显示顺序:
通电开机全显示+蜂鸣声2秒,进入SCAN模式,每6秒在按照
单排:TIME—CNT—T.C—RPM—CAL—PULSE切换模式.
双排:TIME—T.C—CAL—RPM—PULSE切换模式. —CNT为上排显示
S11=1时显示顺序:
单排:CNT—T.C—TIME—RPM—CAL—PULSE切换模式.
双排:T.C—TIME—CAL—RPM—PULSE切换模式. —CNT为上排显示
在SCAN任一模式下按MODE键即可退出SCAN状态,并进入当时的显示功能图面。退出SCAN模式后即可用SET和RESET键对TIME、DIST、CAL、PULSE和COUNT进行设置。
14.心跳恢复功能:
在有心跳信号进入的情况,按RECOVERY进入心跳恢复.启动心跳恢复后进入60秒倒计时,但倒数之零后显示结果,在心跳恢复过程中如果6秒钟无信号进入,则显示E-6.
心跳恢复显示对照表
F≥51 | 0-1 |
50≥F≥41 | 0-2 |
40≥F≥31 | 0-3 |
30≥F≥21 | 0-4 |
20≥F≥11 | 0-4 |
10≥F | 0-6 |
功能计算公式:
Speed(公制):轮径*3.1416*2.54*3600/100000=速度KM/H(60RPM时)
Speed(英制):轮径*3.1416*2.54*3600/100000/1.6=速度ML/H(60RPM时)
DIST: 速度*时间=距离KM(ML)
CAL: (SPEED)速度*CAL参数/60=卡路里(每秒消耗值)
CAL:(COUNT) COUNT*CAL参数=卡路里(每次消耗值)
每秒钟给入的信号不能超过15个,脉宽必须大于5ms。
备注:实际具体功能以实际样品为准.
功能值范围:
功能 | 显示范围 | 计算单位 | 设置范围 | 设置单位 | 单位 | ||
Z小 | Z大 | Z小 | Z大 | ||||
TIME | 00:00 | 99:59 | 00:01 | 01:00 | 99:00 | 01:00 | MM:SS |
SPEED | 0.0 | 999.9 | 0.1 | KM/H ML/H | |||
COUNT | 0 | 9999 | 1 | 10 | 9990 | 10 | COUNT |
T.C | 0 | 9999 | 1 | COUNT | |||
DIST | 0.00 | 999.9 | 0.01 | 0.50 | 99.50 | 0.50 | KM/H ML/H |
ODO | 0 | 9999 | 0.1 | KM/H ML/H | |||
RPM | 0 | 9999 | 1 | RPM | |||
CAL | 0.0 | 9999 | 0.1 | 1.0 | 999.0 | 1.0 | CAL |
PULSE | 0 | 240 | 1 | 40 | 240 | 1 | BMP |
四、 LCD Photo (LCD显示)
单排显示

LCD真值表

注:“RPM”“ODO”图标共享真值表。
双排显示


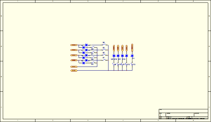
五、Application Circuit ( 应用线路图 )


注﹕晶振宜选用高精度,位置需尽量靠近IC.
六. Electrical Specification(电气特性)



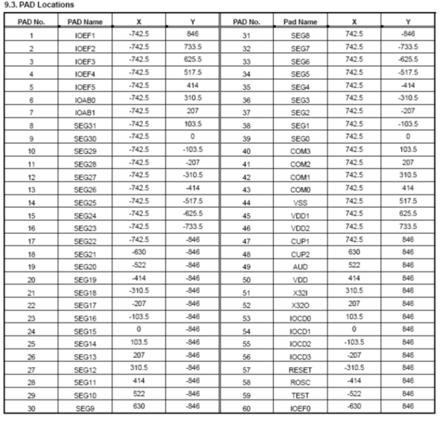
七. PAD Assignment ( 绑定脚位图 )


联系人:汪先生
手 机:13818541390
座 机:0512-36874515
网 址:www.ksxxdz.com
地 址:江苏省昆山市花桥镇花安路169号中寰广场写字楼935室