

产品规格确认书
| Approved by 客户签名栏 | 客户签名 |
| Project Name&Item 产品名称及编号 | JWTSQ001-T505 |
| Working Voltage 工作电压 | 2.0V~3.6V |
备注说明(请选择) | LCD选择 ■单排 ■双排 □多排 |
Picture 产品样片 |
|
| Version 版本 | V1.0 |
| Remark 备注 | 1、规格书仅供参考!以实际样品功能为准! |
| 2、以上资料如有更新我司将不另行通知,客户在应用本产品前请确认是否为Z新版本; | |
| 3、对于客户的不正确应用所带来的任何后果,我司不承担任何责任! | |
| 4、本公司可以根据客户要求对本产品进行改版或重新设计,详情请具体来电垂询! |
一、Features ( 产品特性 )
★ 跳绳器;
★ 感应方式:干簧管或霍尔开关。
★ 四个按键:[ON] , [SET], [UP],[DOWN]。
★ 四个窗口:体重[W] ,时间 [T], 圈数[L],卡路里[C]。
二、I/O Mapping ( 脚位映射 )
名称 | 脚位 (I/O) | 说 明 (Function) |
ON键 | VDD—PC4 | 开机按键 |
SET键 | VDD—PC5 | 设置键 |
UP键 | VDD—PC6 | 设置值增加 |
DOWN键 | VDD—PC7 | 设置值减少 |
Signal En | PB1 | 信号使能口 |
Signal In | PB0 | 信号输入口 |
BUZZER | PD7 | 蜂鸣器输出口(输出4KHz方波) |
LED背光 | PB2 | 背光控制输出口 |
三、 Operation Function ( 功能说明 )
1.上电
上电LCD全显1秒,然后蜂鸣器会有长“BI”一声,全显时背光不亮。然后进入正常显示模式,重量[W]显示50KG,时间[T], 圈数[L],卡路里[C]均显示0,此时背光亮起,背光在无操作的情况下11秒后熄灭。
2.按键功能:
共有四个按键,分别为:ON键、SET键、UP键、DOWN键。
每个键具体功能如下:
ON键:
作为开机和重置功能作用。
SET键:
单按SET键可进入设置模式,进入设置模式后,可单按SET键在体重[W], 时间[T]和圈数[L]之间切换,依次为体重[W], 时间[T],圈数[L],退出设置,整个设置不能跳过,切在设置模式中,信号作无效处理,不计数。
当已经开始跳绳时(运动模式),则按SET键不能进入设置模式,按ON键重置后可进入设置模式或运动模式。
UP键和DOWN键
进入设置模式后,可通过按UP和DOWM键进行调整,单按加减,长按快加减。
模式 | 设置范围 | 设置单位 |
重量 | 20~120KG | 1 |
时间 | 0:00~60:00 | 1:00 |
圈数 | 0~300 | 1 |
3. 体重(W)
当第y次使用本设备,先设置使用者体重,以使卡路里读书更准确,单按SET键,重量[W]三位数字闪烁,可通过按UP和DOWM键进行调整,单按加减1KG,长按快加减10KG;设置范围:20KG~120KG。体重设置完成后,在产品掉电之前一直记录在产品上,关机和重置数据都不会改变设置的体重。更换电池后需要重新设置体重。
4. 时间(T)
测量从开始运动至运动停止时所用的时间,单项溢出后归零。
当有信号进来后,开始计时。
在2秒内没有速度信号输入时,时间暂停。
设置运动时间,到预定时间时会有提示音提示。
设置范围:0:00~60:00。设定值为+1分且秒被清零,若设置有值后再有运动信号进入,则时钟开始倒计.当时钟倒计到0时,蜂蜜器会有11声“BI-BI”的报警提示音,停止信号计算。如使用者想要正常的不限次数的跳绳,必须按ON键重置后才能进行正常计数。如需按之前设置的倒计时来倒计,按ON键重置后再按UP键调出之前设置,然后直接跳绳,就可以按之前设置倒计时进行倒计。
5. 圈数(L)
测量跳绳的圈数。测量范围0 ~9999。
设置范围:0~300。
设置了倒计圈数后,信号进入后开始倒计数,圈数到0蜂蜜器会有11声“BI-BI”的报警提示音,停止信号计算。如使用者想要正常的不限次数的跳绳,必须按ON键重置后才能进行正常计数。如需按之前设置的倒计圈数来倒计,按ON键重置后再按UP键调出之前设置,然后直接跳绳,就可以按之前设置倒计时进行倒计。
6. 卡路里(C)
测量从开始运动至运动停止时所消耗的热量(即卡路里),
测量范围:0~999卡,单项溢出后归零。
卡路里计算公式:CAL = 体重*1/535*运动次数。
7. 记忆功能
产品在不拆卸电池的情况下,是有记忆功能的,可以记住Z后一次跳绳的时间,圈数和卡路里,关机后也会记录,开机时如需查看,按UP键可以调出Z后一次的记录,当调出后开始跳绳,则会在Z后一次记录的数据上继续累加,如果不需要累计,需要重新计数,则可以按ON键重置数据后开始跳绳。
8. 自动关机
8分钟内无运动信号输入,无按键按下,IC进入SLEEP模式。进入睡眠模式后LCD显示关闭。
9. 唤醒
当自动关机后,只有按ON键才可以开机。
10. 声音提示
上电时会长“BI”一声(0.5S);
当设置的时间,圈数归零之后,,会有11声”BI-BI”提示音,提示音未完有按键按下时提示音停止,当次按键只做提示音停止,不执行按键功能。
11. 背光
当跳绳暂停或者结束时(延时3秒)背光亮起;
在开机状态下,按任意键背光亮起;长按SET键3秒可关闭和开启背光。
背光亮起后,在按键无操作情况下,11秒后熄灭。
备注:实际具体功能以实际样品为准。
四、 LCD Photo (LCD显示) 1/4Duty 1/3Bias 3.0V

五、 Application Circuit ( 应用线路图 )

六、 Electrical Specification(电气特性)

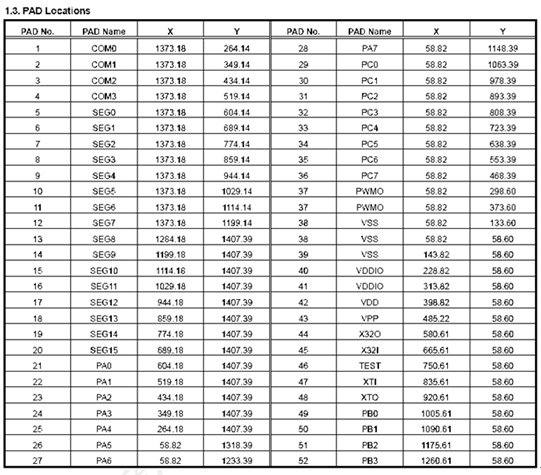
七. PAD Assignment ( 绑定脚位图 )


联系人:汪先生
手 机:13818541390
座 机:0512-36874515
网 址:www.ksxxdz.com
地 址:江苏省昆山市花桥镇花安路169号中寰广场写字楼935室